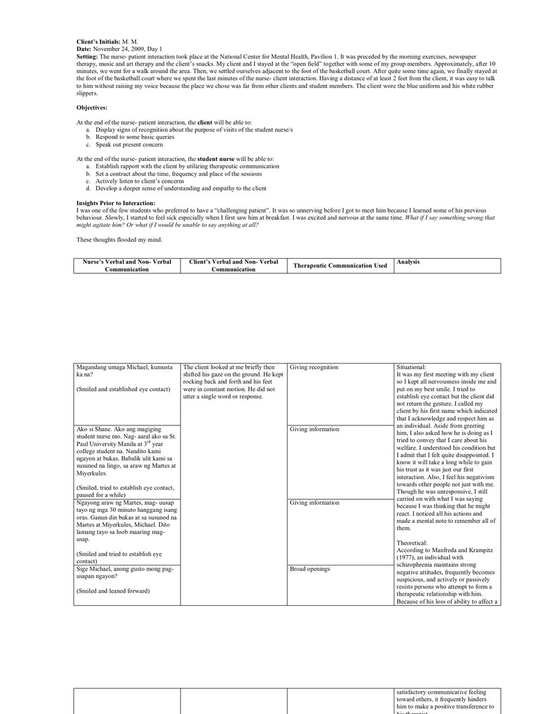
Process Recording Template Nursing - Describe your feelings as you proceeded with this assignment. Nurs 301 nursing concepts in mental health i practicum process recording.
Nurs 301 nursing concepts in mental health i practicum process recording. Describe your feelings as you proceeded with this assignment.
Nurs 301 nursing concepts in mental health i practicum process recording. Describe your feelings as you proceeded with this assignment.
️ Sample process recording nursing. Process Recording. 20190301
Nurs 301 nursing concepts in mental health i practicum process recording. Describe your feelings as you proceeded with this assignment.
NSG 3450 C Process Recording Process Recording Template Name Azia
Nurs 301 nursing concepts in mental health i practicum process recording. Describe your feelings as you proceeded with this assignment.
Nursing Process Recording Example 246 Clinical Example Nursing
Nurs 301 nursing concepts in mental health i practicum process recording. Describe your feelings as you proceeded with this assignment.
Process Recording Template
Describe your feelings as you proceeded with this assignment. Nurs 301 nursing concepts in mental health i practicum process recording.
Process recording template Fill out & sign online DocHub
Describe your feelings as you proceeded with this assignment. Nurs 301 nursing concepts in mental health i practicum process recording.
Process Recording Form Clinical assignemt week 4 NR 326 PSYCHIATRIC
Nurs 301 nursing concepts in mental health i practicum process recording. Describe your feelings as you proceeded with this assignment.
Mental Health Nursing Interpersonal Process Recording (IPR) Exams
Nurs 301 nursing concepts in mental health i practicum process recording. Describe your feelings as you proceeded with this assignment.
Process Recording 1 with Directions and Template N427 Mental Health
Nurs 301 nursing concepts in mental health i practicum process recording. Describe your feelings as you proceeded with this assignment.
Process Recording Art Therapy Nursing Free 30day Trial Scribd
Describe your feelings as you proceeded with this assignment. Nurs 301 nursing concepts in mental health i practicum process recording.
Describe Your Feelings As You Proceeded With This Assignment.
Nurs 301 nursing concepts in mental health i practicum process recording.


